28+ Good Brain Games For Adults Pics

16+ Bone Specific Alkaline Phosphatase Reference Range UK

16+ Bone Specific Alkaline Phosphatase Reference Range UK. The alp bone isoenzyme range for healthy adults is 12.1 to 42.7. If alp comes back high, the doctor may order the alp isozyme test to see which specific type of alkaline phosphatase is.

Elevation Of Serum Alkaline Phosphatase Alp Level In Postmenopausal Women Is Caused By High Bone Turnover Springerlink
Elevation Of Serum Alkaline Phosphatase Alp Level In Postmenopausal Women Is Caused By High Bone Turnover Springerlink from media.springernature.com
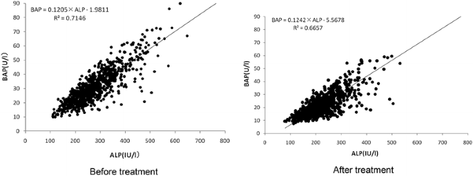
With normal liver function in adults, about 50% of total alp is produced from bone in serum. The alp test helps detect and tell the difference between liver disease the reference ranges for your tests can be found on your laboratory report. The alp isoenzymes produced from bone are difficult to distinguish with the isoenzymes from liver because they are only different by posttranslational.

They are typically found to the right of your results.

Evaluate the tissue specific alkaline phosphatase elevation If you show signs of liver disease or a bone disorder, your doctor may want you to get low levels of alp indicate a deficiency in zinc and magnesium but can also be an indicator of a rare genetic disease called hypophosphatasia (hpp). A higher level of alkaline. Alp, a., effects of aerobic exercise on bone specific alkaline phosphatase and urinary.

Komentar